English
Español
400-881-3721
service@genrui-bio.com
關於我們
關於錦瑞
企業文化
發展曆程
產品中心
客戶服務
媒體中心
企業新聞
展會風采
視頻資源
人才招聘
聯係我們
特定蛋白檢測係統
PA480
PA320
PA300
PA240
PA200
PA120
PA54
免疫檢測解決方案
MT120S
MT60
FA30
FA50
FA20
血液細胞檢測係統
KT8000P
KT8000
KT6610P
KT6610
KT60
KT40
生化檢測解決方案
PS800
GS480A
首頁
關於我們
關於錦瑞
企業文化
發展曆程
產品中心
特定蛋白檢測係統
免疫檢測解決方案
血液細胞檢測係統
生化檢測解決方案
客戶服務
媒體中心
人才招聘
聯係我們
【20220713期】血栓四項對診斷創傷性骨折圍手術期深靜脈血栓的應用價值
2022-07-22
創傷性骨科手術是引起靜脈血栓最常見原因
★
創傷性骨科手術是引起靜脈血栓最常見的原因,下肢深靜脈血( deep vein thrombosis,DVT) 脫落引起的肺栓塞( pulmonary embolism,PE) 是導致骨折患者非預期死亡的最主要原因。創傷骨折術後患者靜脈血栓的發生率為 36% ~ 60%,近端 DVT發生率為 17% ~ 36% ( 近端 DVT 栓子脫落易引起大麵積肺栓塞) 。
★
創傷性骨折是指骨骼因意外事故或暴力撕裂,常見於交通事故、高空墜落等,一般都伴有嚴重的外傷史,如肌肉的撕裂,血管的破損,關節的損傷等,這些複雜的外傷誘因,使得患者的凝血-纖溶係統異常活躍。
★ 該類患者的治療具有手術時間長,術後製動時間長等特點,使得創傷性骨折患者術後獲得 DVT 的風險遠遠高於閉合性骨折或其他疾病。
★ 受製於醫療條件的地域性差異,創傷性骨折患者大多無法第一時間在基層醫院獲得充足的治療,需要向上級醫院轉診,轉診期間部分患者已於術前形成 DVT。
研究數據:基礎資料
注:基礎疾病包括:糖尿病/高血壓/冠心病;2.低能量:摔傷;高能量:車禍傷/墜落傷等;3.遠端骨折:股骨幹及以下部位骨折,HSF:環骨盆骨折含股骨幹以上部位。
通過 427 例患者基礎數據發現,創傷性骨折血栓的高危風險包括了基礎疾病,高能量創傷,多發性骨折等,同時可以觀察到所形成的血栓絕大部分是周圍型血栓,這類血栓沒有明顯的下肢血栓典型症狀如小腿周長,腫脹等,導致其極易被忽視,同時該類血栓更多處於活動期,非常容易脫落,導致PE 的發生。
(雖然在本研究中基礎疾病在兩組間的比較隻存在數值差異,而不具有統計學差異,可能由於納入樣本的年齡較大,基礎疾病發生率較高所導致。)
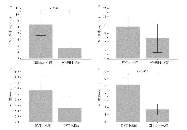
D-二聚體( D-D) 檢測是目前國內外最普遍的 DVT 初篩實驗
由於D-D靈敏度高,特異性差,極易受到其他因素幹擾,骨折、創傷等因素會導致 D-D 急劇升高,高於醫學決定水平,失去其“排陰”的指示作用。曆年修訂的《骨科大手術靜脈血栓防治指南》和臨床常用的血栓評估係統中,都隻將 D-D 作 DVT 的陰性排除實驗。
D-二聚體在創傷性骨折圍手術期的變化
本研究利用病例對照研究發現:DVT 患者術後的 D-D 是高於非 DVT 患者的,而同一組患者的對比研究發現,常規術後抗凝治療後,DVT 組 D-D 在手術前後的變化較小,一直處於高水平狀態,而非 DVT 組,由於藥物作用,術後 D-D 對比術前值有顯著性降低。
該結果表明:手術前後對 D-D 動態檢測,即使是幹擾性極大的創傷性骨折,仍具有 DVT 的初步篩選作用; 術後 D-D 在兩組之間仍表現出差異,這與某些單一骨折疾病模型對 D-D 值的觀測結果一致,提示針對單一類型骨折重新製定 D-D 的醫學決定水平。
2014 歐洲心血管會議將年齡修正 D-D 的 cutoff 值用於臨床 DVT 篩查,但對於複雜的創傷骨折患者,其作用仍有待評估。
新凝血-纖溶四項的
變化差異
化學發光法檢測術前 2 d 和術後 3 d 的 TM、 TAT、tPAIC、PIC 的表達。
TM、TAT、tPAIC、PIC在創傷骨折術前2d血栓組合對照組之間的表達差異
術前檢測結果發現,術前血栓組的四個指標在 DVT 組表達均高於對照組,但是 TAT 和 tPAIC 在兩組間無統計學差異( P > 0. 05) ,TM 術前在兩組間存在顯著性差異( P < 0. 001) ,PIC 在兩組間存在差異( P < 0. 05) ,術後檢測血栓組結果兩組間對比以及術後血栓組之間的對比均無統計學差異 ( 結果未羅列)。
2015 年超敏化學發光技術應用於該四項的檢測,臨床能夠直接對血栓形成和溶解的最早標誌物進行評估。
2014 年日本的 DIC 防治指南中,將 TAT 列入評分量表。但是,這四項檢測指標在骨科手術的血栓防治領域的研究還處於起步階段。
2016 年,積水潭醫院首次利用該技術檢測TM、 tPAIC、PIC、TAT 並對 108 例( 54 例 DVT) 創傷骨折術後 DVT 診斷進行評估,實驗發現 TM、tPAIC、PIC、D-D 這四項指標的聯合診斷對術後下肢靜脈血栓具有良好的輔助診斷價值,而 TAT 由於受術後抗凝影響,不宜作為診斷指標。
受限於客觀條件,本研究隻完成了小樣本實驗,結果顯示在 DVT 的術前診斷中隻有 TM 和 PIC 表現出較大的差異性,而術後四個指標沒有明顯差異( 數據未羅列) 。術前 TAT 和 tPAIC 的變化沒有顯著差異可能是由於創傷性導致的凝血酶原和纖溶酶原大量激活引起,過高的應激反應掩蓋導致了 DVT 引起的差異。並且未能進行ROC分析,得到其相應的診斷效能,對此,研究者期待後期大樣本數據能夠獲得更多的數據。
總結
新的更具診斷潛能的凝血-纖溶標誌物(新血栓四項)被用於 DVT 的診斷,以彌補現有手段的不足。實驗室技術診斷 DVT 的不斷發展,有利於減少不必要的影像學檢測和過度的抗凝治療,同時滿足基層醫療機構在缺乏相應影像學檢測基礎上對 DVT 的早期診斷,為 DVT 的早發現、早抗凝治療提供實驗室依據。
文章來源:現代
醫學
Modern Medical Journal 2019,Aug; 47( 8) : 1023-1027
[文獻標識碼]
A
[文章編號]
1671-7562( 2019) 08-1023-05 doi: 10. 3969 /j. issn. 1671-7562. 2019. 08. 029
蔴荳传影视高清视频熊猫免费/完整/无限/在线